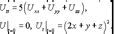
Решение задачи 15.5 из раздела 3 УМФ автор Чудесенко ВФ
| Продавец | Продано | Возвратов | Отзывы | ||
|---|---|---|---|---|---|
| Chudesenko | 8 | 0 |
|
||
₽ 64.00
Описание
Решение задачи 15.5 (задача 15 вариант 5) по высшей математике из раздела: Уравнения Математической Физики (УМФ). Задачник: Чудесенко В.Ф. Сборник заданий по специальным курсам высшей математики (типовые расчеты). — Москва: Высшая школа. Решение подходит для изданий: 1983 (1994, 2005-2009) гг..
Дополнительное описание
После оплаты вы получите архив zip. Решение выполнено в электронном виде и сохранено в виде картинки в формате tif. Открывается любой программой. Разрешение 300 dpi. Решение неоднократно сдавалось в ВУЗах России. Все недочёты исправлены.Буду очень благодарна, если Вы оставите ПОЛОЖИТЕЛЬНЫЙ ОТЗЫВ после покупки.
СПАСИБО!