ИДЗ 5.2 – Вариант 10. Решения Рябушко А.П.
| Продавец | Продано | Возвратов | Отзывы | ||
|---|---|---|---|---|---|
| Massimo86 | 11 | 0 |
|
||
₽ 80.00
Описание
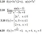
1. Доказать, что функции f(x) и φ(x) при x→0 являются бесконечно малыми одного порядка малости. 2. Найти пределы, используя эквивалентные бесконечно малые функции.
3. Исследовать данные функции на непрерывность и построить их графики.
4. Исследовать данные функции на непрерывность в указанных точках
Дополнительное описание
Подробное решение. Оформлено в PDF-формате для удобства просмотра решений ИДЗ на смартфонах и ПК.В MS Word (doc-формате) высылается дополнительно.