ИДЗ 10.2 – Вариант 6. Решения Рябушко А.П.
| Продавец | Продано | Возвратов | Отзывы | ||
|---|---|---|---|---|---|
| Massimo86 | 5 | 0 |
|
||
₽ 110.00
Описание
1. Найти уравнения касательной плоскости и нормали к заданной поверхности S в точке M0(x0, y0, z0)1.6 S: x2 + y2 + z2 – 6y + 4z + 4 = 0, M0(2, 1, – 1)
2. Найти вторые частные производные указанных функций. Убедиться в том, что z”xy= z”yx
2.6 z = arctg(x + y)
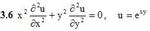
3. Проверить, удовлетворяет ли указанному уравнению данная функция u.
4. Исследовать на экстремум следующие функции.
4.6 z = 2x3 + 2y3 – 6xy + 5
5. Найти наибольшее и наименьшее значения функции z=z(x, y) в области D, ограниченной заданными линиями.
5.6 z = x2 + y2 – 2x – 2y +8, D: x = 0, y = 0, x + y – 1=0
Дополнительное описание
Подробное решение. Оформлено в PDF-формате для удобства просмотра решений ИДЗ на смартфонах и ПК.В MS Word (doc-формате) высылается дополнительно.