Решебник Арутюнова Ю.С. Задание N53 Высшая математика
| Продавец | Продано | Возвратов | Отзывы | ||
|---|---|---|---|---|---|
| Massimo86 | 1 | 0 |
|
||
₽ 30.00
Описание
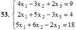
Готовое решение задачи. Решебник Арутюнова. Задание №53. 51 − 60. Дана система линейных уравнений.
Доказать её совместность и решить двумя способами: 1) методом Гаусса; 2) средствами матричного исчисления.
Дополнительное описание
Если у вас похожее задание, прорешаю на заказ, пишите мне fizmathim.sellerstore.ruПодробное решение. Оформлено в Microsoft Word 2003 (Задание решено с использованием редактора формул)