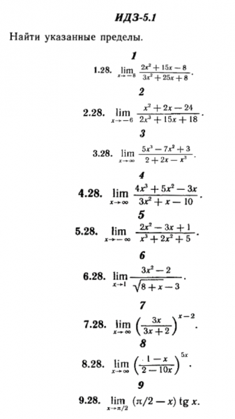
ИДЗ 5.1 - Вариант 28 - Рябушко (сборник №1)
Продавец | Продано | Возвратов | Отзывы | ||
---|---|---|---|---|---|
ИДЗ Рябушко | -1 | -1 |
|
₽ 80.00
Описание
Здесь доступны готовые решения ИДЗ 5.1 из сборника по высшей математике Антония Рябушко для 28 варианта.После скачивания ИДЗ 5.1 вы получите все готовые примеры для этого варианта.
Решения расписаны на столько подробно, чтобы у преподавателей не появилось никаких вопросов к решению.
Дополнительное описание
Если у вас есть вопросы связанные с оплатой либо другие вопросы - пожайлуста свяжитесь со мной!Через ЛС здесь либо другим способом - sellerstore.ru/seller/idz-rjabushko/1128456/
Отвечаю быстро!