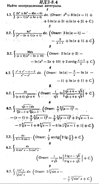
ИДЗ 8.4 - Вариант 7 - Рябушко (сборник №2)
Продавец | Продано | Возвратов | Отзывы | ||
---|---|---|---|---|---|
ИДЗ Рябушко | -1 | -1 |
|
₽ 90.00
Описание
Здесь доступны готовые решения ИДЗ 8.4 из сборника по высшей математике Антония Рябушко для 7 варианта.После скачивания ИДЗ 8.4 вы получите все готовые примеры для этого варианта.
Решения расписаны на столько подробно, чтобы у преподавателей не появилось никаких вопросов к решению.
Дополнительное описание
Если у вас есть вопросы связанные с оплатой либо другие вопросы - пожайлуста свяжитесь со мной!Через ЛС здесь либо другим способом - sellerstore.ru/seller/idz-rjabushko/1128456/
Отвечаю быстро!